LED显示屏以其丰富的表现形式、绚丽的色彩,近年来成为广告界的娇宠。车站、口岸、码头、广场、交通要道等人流密集的地方,充斥着大大小小的、夺人眼球的LED显示屏。随着它的增多,人们的投诉也越来越多。其太高的亮度和不合理的位置给人们的视力和生活带来较大影响。目前我国还没有限制LED显示屏光污染的标准, 国际上也没有针对LED显示屏光污染提出明确的要求。
本文结合《深圳市户外广告管理办法》和失能眩光的算法,对户外LED显示屏亮度标准和设立位置进行研究和探讨,希望找到夜晚限制LED显示屏光污染的办法。
1 研究对象及相关标准、法规
高亮度LED显示屏影响最大的人群是机动车驾驶员。因为行人可以转移自己的注视对象,而机动车驾驶员一般都需要注视前方。夜晚时LED显示屏的眩光造成驾驶员不舒适或直接影响到觉察物体的可靠性,容易酿成交通事故。所以驾驶员对眩光控制的要求更高。显示屏的设置如果能满足驾驶员的要求,应该也能满足行人的要求。
由于可视面积的原因,相比于平行道路轴线的显示屏,位于交叉路口等直接面对驾驶员视线的显示屏眩光影响更大,因此本文主要研究面向车辆行驶方向的显示屏。
眩光可用两种指标衡量:1)失能眩光阈值增量TI,;2)不舒适眩光等级G。
CIE在其1995年推荐的机动车交通道路照明标准中,对于眩光限制只推出一项评价指标 ,而放弃了对G的要求,故本文也只对吖值进行分析。实际上CIE 115-l995报告称“在所推荐的阈值增量范围内设计的装置, 其相关的不舒适眩光通常也可以接受。” 即TI,符合要求,G也能符合要求。
《城市夜景照明设计规范》(JGJ/T 163-2008)第7.0.2条第3款规定:城市道路的非道路照明设施对汽车驾驶员产生的眩光的阈值增量不应大于15% 。故LED显示屏产生的TI值应不大于15% 。
《城市夜景照明设计规范》(JGJ/T 163-2008)第5.6.2条规定:不同环境区域、不同面积的广告与标识照明的平均亮度最大允许值应符合表1的规定。

表1中E1区为天然暗环境区,如国家公园、自然保护区和天文台所在地区等;E2区为低亮度环境区,如乡村的工业或居住区等;E3区为中等亮度环境区,如城郊工业或居住区等;E4区为高亮度环境区,如城市中心和商业区等。
《深圳市户外广告管理办法》规定面积在10 m以上的电子显示屏广告的设置需要通过审批。
结合以上两条规定可知:对于深圳市来说,政府管控的LED显示屏面积在10 m²以上。而实际上,户外全彩色LED显示屏绝大多数面积也超过10m² ,且大都设置在繁华的地段(E4区),它的平均亮度最大允许值从表1可知应为400cd/ m² 。
2 LED显示屏设立高度的计算
因为LED显示屏产生的失能眩光阈值增量吖值应不大于15% ,利用 的计算公式,我们可以求得面向车辆行驶方向的显示屏的最小设立高度,如图1所示。

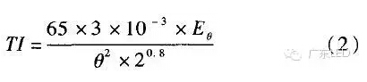
失能眩光阈值增量TI,的计算公式为

式中:1)Lav为道路的平均亮度,适用范围为0.05cd/m² <Lav <5 cd/m²。根据《城市道路照明设计标准》(CJJ 45—2006)第3.4.1条规定:主干路(含市中心或商业中心道路)道路照明平均亮度要求达到1.5或2.0cd/m²,而LED显示屏大多处于繁华街道,可将 取为2 cd/m²。2)θ为驾驶员的视线与水平方向的夹角,适用范围为1.5度≤θ≤60度。在进行失能眩光计算时,CIE假定车辆顶棚的挡光角度为20度,观察者眼睛位于1.5米高处,一直注视着前方道路90米处的一点。这意味着只需考虑位于视线与水平方向夹角在20度以内的显示屏产生的眩光,20度以上的显示屏由于车辆顶棚挡光对驾驶员无失能眩光影响。3)E 为投射在驾驶员眼睛上的显示屏照度。4)K为常数,其值和观察者年龄有关,当观察者年龄在20~30岁之间时,若θ以度为单位,常数K取值为10;若θ以弧度为单位,常数K取值为3×10-3。
由此可推出,θ以弧度为单位时,

现在我们来计算照度Eθ:照度计算规定,当圆形发光体直径小于照射距离的1/5,或线光源长度小于照射距离的1/4, 就可以按点光源计算照度。由图1可知,显示屏的边长远远小于驾驶员视距,可当作点光源计算照度,则可得到

式中为亮度,S为面积,d为某点到光标距离。由表1可知允许平均亮度最大值为400 cd/m² ,故亮度在此取值400。r为等效方形的边长,即与显示屏的矩形面积相等的正方形的边长。A为显示屏中心到驾驶员眼睛的距离。h为显示屏中心到离地1.5米处的高度。
将公式(3)代入公式(2)可以得到

当θ=20°时,转换为弧度值为0.348;而sin20°=0.342,相差仅为1.7% 。可知当θ<20°时,θ的弧度值与sinθ近似相等。因此,

当TI=15% 时,r/h=0.0578 (6)
由此可见r与h成反比关系,显示屏边长越长,面积越大。越需要设立在更高的位置才能使失能眩光不超过规定值。
当显示屏面积为10m²时,等效方形的边长r=3.16m,代人公式(6)得到h=54.67m,加上驾驶员眼睛高度1.5m,10m²的LED显示屏中心离地高度应为56.17m。
3 结论
由以上研究和计算可以得出如下结论:
1)面积大于10 m²的LED显示屏夜间最大平均亮度应为400 cd/m² 。
2)LED显示屏大小和应离地高度成线性反比关系。按照公式(6),可以很容易地计算出不同面积的LED显示屏应离地的高度。注意计算出来的h还需加上驾驶员眼睛高度1.5米。
3) 面积大于10 m² 的平均亮度400 cd/m² 的LED显示屏中心离地高度应大于56.17 m。
目前各地还没有对LED显示屏设立高度进行严格控制。有很多路口的显示屏高度远远低于56.17m。结合我国的实际情况,我们可以对设立高度条件适当放宽。
路口显示屏对停在路口等待红绿灯的驾驶员影响时间较长,眩光危害最大,我们可以参照CIE的假设条件(车辆顶棚的挡光角度为20度,观察者眼睛位于1.5米高处,一直注视着前方道路90米处的一点),规定驾驶员在路口时,显示屏底部被车辆顶棚遮挡,不产生眩光,即显示屏位于水平20°以上。因此驾驶员注视距离为90米时, 由图1可得到LED显示屏底部离地的最小高度H=34.26m。