我们从小就知道:有了电,多方便,电的用处说不完。其中之一就是解放了人类夜生活的电灯泡。
电是怎么转化为光的呢?不同的光源各有不同原理,但总的来说都是这样:

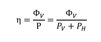
所以,灯泡的发光效率的计算公式大家都很熟悉,即光通量除以总功率。
辣么,这个发光效率的极限又是多少呢?这个恐怕就不是所有人的都知道了。
电在灯泡里都变成了啥?
首先我们来回忆一下,当年初中物理老师在我们耳朵边一直唠叨的“能量守恒定律”(指在能量转换过程中能量必须保持守恒),这是不能违背的自然规律。
以LED灯泡为例,如果所有的电功率我们都用上了,LED 器件工作在转化电功率P时,会产生两种:一种用来发光(光功率 PV),一种用来发热(热功率 PH)。
所以,上面那个公式也可以变个形:

我们来举个栗子,下面这个图呢,是一个 COB 器件的光电测试报告:

图:光电测试报告
报告中用红色标示的辐射通量 Φe 就是光功率,从能量守恒的角度理解就是 LED消耗了 31.21W 的电功率,有 11.97W(占38.36%)变成了光功率,19.24W(占61.64%)转化成热功率,发出了 3922 lm 的光。
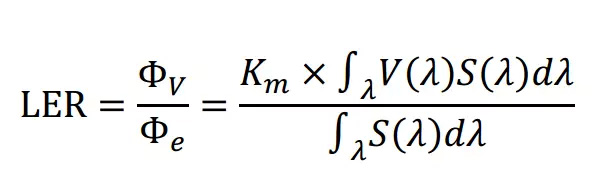
如果不考虑热功率(假装只耗了11.97W的电),这个器件能达到的极限光效或光视效能( LER) 就是:

光视效能(LER)是个什么鬼?
上面我们说到了一个专业名词光视效能(LER),现在假设我们发明了一种理想的 LED,不产生热量,可将电功率 P 100% 转换成光功率 PV。(在理论世界里,理想还是要有的,虽然总也实现不了)
这时的光效就是理论最大值了,这个值还有个学名,叫光视效能(luminous efficacy of radiation,简称 LER)。
LER 的理论计算公式如下(我知道你看不懂~~):

公式中的 Km 叫最大光视效能,等于 683 lm/W,意思是人眼最敏感的黄绿光(555nm),1W 的光功率相当于 683 lm 光通量。
当光谱的形状确定了,光视效能(LER)也就确定了。(测光谱有个便携神器你知道吗?)
理论和公式不好(yong)懂,再举个栗子吧。

上面图中,我们可以看到卤素灯的光视效能(LER)只有 130 lm/W,也就是说卤素灯理论上的最高光效能做 130lm/W,主要是卤素灯的光谱里面包含了大量的红光,从视见函数 V(λ) (黑色虚线所示)上看,这些红光人眼都是不敏感的,导致光视效能(LER)比较低。

而 LED 1 去掉了比较多的红光,光谱里面大部分是人眼敏感的黄绿光,所以光视效能(LER)可达到 330 lm/W,但是因红光去得比较多,导致显指只有80。

LED 2则包含较多的红光,显指有97,光视效能(LER)也能达到 260 lm/W。
所以,回到前面说的货币兑换的比喻(原文点这里:《从货币兑换的角度理解光通量》):
LER 的意思相当于你手上有很多种光(货币)根据 V(λ) 视见函数(汇率)折算成统一的光通量(价值)。
人眼最敏感的光是 555nm 的黄绿光,它的光视效能(LER)是 683 lm/W,这就是理论上的最高光效。从表2中也可以看到,455nm 的蓝光的光视效能(LER)只有 32.8 lm/W。
光效和光色品质,自古万事难两全
2013年美国 Po-Chieh Hung 等在IEEE期刊< JOURNAL OF DISPLAY TECHNOLOGY>发表过一篇文章,文章中他模拟计算了各种显指、色温的极限光效,并整理成一个图表,如下图6所示。

图:最大理论光效
从图中我们可以看到,白光理论上的最高光效只有 480lm/W,而且这时候的显指只有30,显色效果极差。
如果为了提高显指,光谱中需要包含更多人眼不敏感的蓝光和红色(相当于手上拿了很多不值钱的货币,面值再高,折算下来的价值还是很低)。
光效和光色品质,就这么在一个灯泡里,相生相克相爱相杀着。也正因为如此,照明设计时选择光源时,往往没有最好,只有最合适。
现在,您明白白光的光效为什么做不到 1000 lm/W 了吗?
PS:本文讲的V(λ)都是明视觉视见函数。
(文/苏佳槟)